春节前后,与玉米和小麦市场价格持续下跌不同的是,稻谷市场则掀起了一轮集体上涨,一度有直逼开秤价前高的势头,整体市场情绪也被激活。然而好景不长,进入3月中旬后,在卖压加大的市场环境下,稻谷市场价格的上涨受阻,但也只是受阻而已,尤其是中晚籼稻这个品类。
一、政策性储备稻谷的轮出数量不断增加
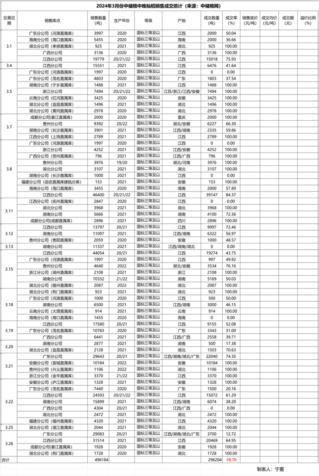
从下方2024年中央储备粮中晚籼稻轮出销售(不含购销双向)的成交对比统计图表和3月份的统计明细图表上,我们可以看到除2月份春节假期因素之外,1月份和3月份的轮出销售数量都是40万吨以上级别的,而3月份的轮出销售数量则基本可以确定超过50万吨,进入3月份后成交率已出现了下跌的势头。同时3月下旬后,架空期相对宽裕的主销区地方储备中晚籼稻轮出销售的数量也在不断增加中。这意味随着稻谷市场供应面的增加,需求面不说疲弱,即便是保持稳定,中晚籼稻市场的供需环境也将会得到改变,这将对稻谷上涨的势头构成一定的压制作用。


二、市场稻谷余粮大量进入流通供应环节
春节前后稻谷市场价格的持续上涨后,不仅农户可以接受,也使得前期基层粮点收购的稻谷得以解套,甚至产生了一定的利润,在整个农产品市场价格多数走跌的大环境下,离场基本是主流思路。同时考虑到气温接下来将会持续上升,不具备安全储存条件也是一个重要的离场兑现因素。
三、政策性储备稻谷增储采购数量或不及预期



从以上三张中央储备粮和增储计划已明确且已开始运作的重庆和广东地方储备中晚籼稻的招标采购成交情况来看,中央储备粮中晚籼稻的采购基本是准备粮阶段,数量可变性是与市场价格的高低相反的。而地方储备粮方面虽然说成交均价目前基本维持不变,甚至还有所上行,但基本可以明确的是重庆地方储备稻谷的增储已经进入了尾声,而之前传闻增储数量较大的广东地方储备很多地市前两年已提前完成增储计划了,剩下的数量还涵盖着小麦、玉米、稻谷、成品大米等多个品类。从采购成本和难易度,并结合6月底要完成的时间节点来说,广东地方储备对稻谷的增储需求量应该是不及预期。
四、东南亚大米市场价格有回落的趋势
对我们的大米市场价格影响较大的东南亚大米市场新作逐步登场后,市场价格开始承压,目前来看已经出现了回落的趋势。但整体来说到国内的进口大米的成本依然高于国内市场近千元/吨,虽然说短期内完全不会压制国内大米市场价格,但高位盘整后下跌也是规律,这从心理上也会对国内大米市场并传导至稻谷市场构成一定的压力。
综合以上分析,笔者以为对于中晚籼稻市场而言,虽然说市场价格上涨受阻,但短期内大概率会继续维持强势,市场风险系数较小。只是从持仓成本增加的角度考虑,不能继续上涨或是大幅上涨其实也是一直下跌,因此还是维持操作建议不变,适时兑现落袋为安应为上策。
上一篇:稻谷偏强上涨!大米走势平稳